Page 81 - AN-4-1
P. 81
Advanced Neurology The South London Stroke Register
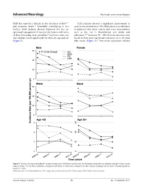
SLSR has reported a decline in the incidence of first 10-12 SLSR analyses showed a significant improvement in
and recurrent stroke. Potentially contributing to this post-stroke survival since 1995, likely due to a combination
13
decline, SLSR analyses showed improved but not yet of improved risk factor control and acute interventions,
optimised management of vascular risk factors, with some such as the rise in thrombolysis and stroke unit
of them becoming more prevalent. Incidence rates and admission. 15,16 However, 20 – 30% of stroke survivors were
14
their decline varied significantly by ethnicity, age and sex found to have poor functional outcomes up to 10 years
(Figure 2). after stroke (Figure 3). Post-stroke depression affected
17
Figure 2. Trends in the age-standardised** annual incidence per 100,000 per year for first-ever ischaemic strokes by sex, ethnicity, and age (Open Access
12
Source). Notes: **to the 2011 population of England and Wales, P-values were obtained from the Cochran-Armitage test for trend. *denotes significant
trends (P < 0.05).
Abbreviations: CE: Cardioembolism; LAA: Large-artery atherosclerosis; OC: Other causes; SVO: Small-vessel occlusion.
Volume 4 Issue 1 (2025) 75 doi: 10.36922/an.4771

