Page 39 - IJPS-2-2
P. 39
Mukesh Ranjan, Laxmi Kant Dwivedi, Rahul Mishra, et al.
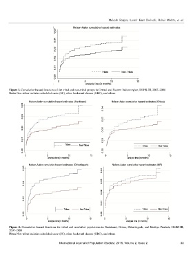
Figure 1. Cumulative hazard functions of the tribal and non-tribal groups in Central and Eastern Indian region, DLHS-III, 2007–2008
Note: Non-tribes includes scheduled caste (SC), other backward classes (OBC), and others
Figure 2. Cumulative hazard functions for tribal and non-tribal populations in Jharkhand, Orissa, Chhattisgarh, and Madhya Pradesh, DLHS-III,
2007–2008
Note: Non-tribes includes scheduled caste (SC), other backward classes (OBC), and others
International Journal of Population Studies | 2016, Volume 2, Issue 2 33

