Page 28 - IJPS-7-2
P. 28
International Journal of
Population Studies Gender gap in life expectancy in South and East Europe
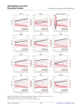
Figure 1A. Males’ LEAB and the gender gap in LEAB in South and East European countries, 1990 – 2019
Source: World Population Prospects 2022 (United Nations, 2022a).
Note: The names of the countries/areas are directly taken from WPP 2022.
Volume 7 Issue 2 (2021) 22 https://doi.org/10.36922/ijps.v7i2.389

