Page 11 - AN-1-1
P. 11
Advanced Neurology AIS in patients with COVID-19
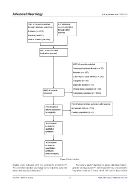
Figure 1. Study selection.
studies were included with 0.5 continuity correction . We used Q and I statistics to assess statistical hetero-
2
[13]
We converted median and range in the reported data into geneity among studies . Heterogeneity was considered to
[15]
mean and standard deviation . be present with an I value >40%. We used a fixed-effects
2
[14]
Volume 1 Issue 1 (2022) 3 https://doi.org/10.36922/an.v1i1.28

