Page 75 - GPD-4-3
P. 75
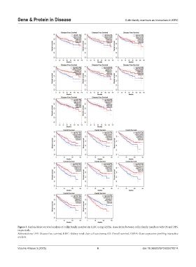
Gene & Protein in Disease Cullin family members as biomarkers in KIRC
Figure 3. Kaplan-Meier survival analysis of cullin family members in KIRC using GEPIA. Association between cullin family members with OS and DFS,
respectively.
Abbreviations: DFS: Disease-free survival; KIRC: Kidney renal clear cell carcinoma; OS: Overall survival; GEPIA: Gene expression profiling interactive
analysis.
Volume 4 Issue 3 (2025) 6 doi: 10.36922/GPD025070014

