Page 22 - IJB-5-2
P. 22
Development and characterisation of a photocurable alginate bioink for 3D bioprinting
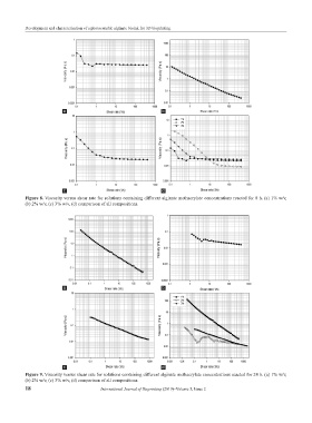
a b
c d
Figure 8. Viscosity versus shear rate for solutions containing different alginate methacrylate concentrations reacted for 8 h. (a) 1% w/v,
(b) 2% w/v, (c) 3% w/v, (d) comparison of all compositions.
a b
c d
Figure 9. Viscosity versus shear rate for solutions containing different alginate methacrylate concentrations reacted for 24 h. (a) 1% w/v,
(b) 2% w/v, (c) 3% w/v, (d) comparison of all compositions.
18 International Journal of Bioprinting (2019)–Volume 5, Issue 2

