Page 34 - IJPS-2-1
P. 34
Monitoring adult mortality by type of residence in the absence of death registration: a perspective from Burkina Faso
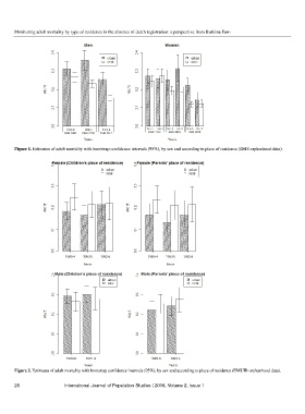
Figure 1. Estimates of adult mortality with bootstrap confidence intervals (95%), by sex and according to place of residence (DHS orphanhood data).
Figure 2. Estimates of adult mortality with bootstrap confidence intervals (95%), by sex and according to place of residence (EMUIB orphanhood data).
28 International Journal of Population Studies | 2016, Volume 2, Issue 1

