Page 42 - IJPS-2-1
P. 42
Monitoring adult mortality by type of residence in the absence of death registration: a perspective from Burkina Faso
Appendix
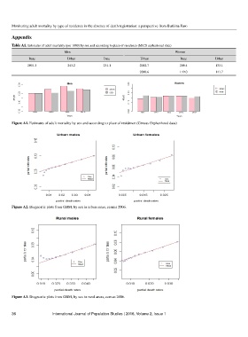
Table A1. Estimates of adult mortality (per 1000) by sex and according to place of residence (MICS orphanhood data)
Men Women
Date Urban Date Urban Date Urban
2001.3 243.2 231.1 2002.7 206.4 133.1
2000.6 149.0 141.7
Figure A1. Estimates of adult mortality by sex and according to place of residence (Census Orphanhood data)
Figure A2. Diagnostic plots from GBM, by sex in urban areas, census 2006.
Figure A3. Diagnostic plots from GBM, by sex in rural areas, census 2006.
36 International Journal of Population Studies | 2016, Volume 2, Issue 1

