Page 87 - GTM-2-4
P. 87
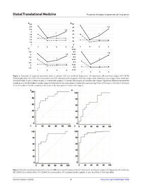
Global Translational Medicine Prognosis of relapse in squamous cell lung cancer
A B
D
C
Figure 2. Dynamics of measured parameter values in patients with non-small cell lung cancer. (A) Squamous cell carcinoma antigen, (B) CXCR2
(% in lymphocytes), (C) CD44 (% in monocytes), and (D) combined model. Legends: Solid line: relapse cases; dashed line: non-relapse cases; dotted line:
Threshold value. X-axis: 1: Before surgery; 2: 3 weeks after surgery; 3: 3 months after surgery; 4: 6 months after surgery. *Significant differences in the levels
of indicators in the blood after 3 months compared to the level in the same patients 3 weeks after resection; significant differences in the levels of indicators
#
in the blood after 6 months compared to the levels in the same patients 3 weeks after surgery.
A B
C D
Figure 3. Receiver operating characteristic curves for differences in performance levels at 3-week and 3-month post-surgery. (A) Squamous cell carcinoma,
(B) CXCR2 (% in lymphocytes), (C) CD44v6 (% in monocytes), (D) combined model. Legends: X-axis: Specificity; Y-axis: Sensitivity.
Volume 2 Issue 4 (2023) 8 https://doi.org/10.36922/gtm.2209

