Page 267 - IJB-8-3
P. 267
Kriegel, et al.
A B
C D
E F
G
H
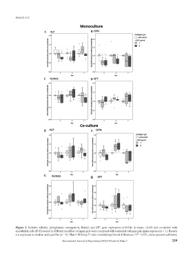
Figure 2. Relative alkaline phosphatase, osteopontin, Runx2, and SP7 gene expression of hOBs in mono- (A-D) and co-culture with
endothelial cells (E-H) seeded in different modified collagen gels were compared with untreated collagen gels (gene expression = 1). Results
are expressed as median and quartiles (n = 9). Mann–Whitney U-tests revealed significant differences (*P < 0.05, circles present outliners).
International Journal of Bioprinting (2022)–Volume 8, Issue 3 259

