Page 141 - JCAU-7-2
P. 141
Journal of Chinese
Architecture and Urbanism Urban features of PRD in online image
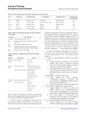
Table 2. Top five high‑frequency word pairs based on co‑occurrence values
Link Vocabulary Ⅰ Vocabulary Type Ⅰ Vocabulary II Vocabulary Type II Word frequency
co‑present value
Link Ⅰ Villagers Planning content Re-energize Planning content 278
Link Ⅱ Tourists Planning content Place of interest (tourism) Planning content 277
Link Ⅲ Valleys Planning content Planning Planning content 201
Link Ⅳ Portal Planning content Websites Media 178
Link Ⅴ The district Planning content Websites Media 175
Table 3. Refinement of image tags based on the five elements semantic framework. The research employed SPSS for
of city image this analysis, yielding a Kaiser–Meyer–Olkin value of
0.654, indicating that the sampling adequacy passed. The
City image Town image tags significance test value was <0.001, confirming the success
Landmark Urban landmarks, business events of Bartlett’s sphericity test. The initial eigenvalue criterion
Node Architecture, parks, squares, urban events, factories, was used to determine the number of principal factors,
agriculture where factors with eigenvalues ≤1 were selected. A total
Path Transportation facilities, roads, streets of six principal factors were identified, with a cumulative
District Traditional landscape towns, urban landscapes, rural contribution rate of 74.287%. Therefore, the research
landscapes, historical culture and folklore, planning selected Components 1 – 6 as the initial factors (Table 5).
Edge Mountain, rivers and lakes, plant
To better understand the significance of each factor,
the factors were rotated and examined, resulting in
Table 4. Semantic recognition framework for town image a clearer differentiation of the six principal factors
tagging
(Table 6):
Category Subcategory Element (i) First factor: historical features of town concentration
Ecological Natural features Mountain areas
scene Rivers, lakes • Larger loadings for “architecture,” “road,” “parks,
Plant squares, and streets,” “traditional landscape
towns,” and “urban events” suggest a blend of
Living History and humanity Traditional landscape towns historical and modern town features.
scene Historical culture and folklore • This factor reflects the coexistence of historical
Rural and urban landscape Rural landscape and contemporary elements and is thus termed
Town landscape the “historical feature factor of town concentration
Urban landmarks areas.”
Parks, squares, streets (ii) Second factor: value landscape factor
Architecture • Larger loadings for “urban landscape,”
“transportation facilities,” “mountain,” and
Production Road and transportation facilities “rural landscape” highlight the typical landscape
scene Industrial features Agriculture characteristics of valley towns.
Factories • This factor is named the “valley landscape factor.”
Business activities (iii) Third factor: cultural and production space
Urban events • Larger loadings for “historical culture and
Planning folklore,” “factories,” and “traditional landscape
towns” indicate a close integration of cultural and
production activities within traditional style areas.
natural scenery, with urban architecture also receiving • This factor reflects a mixed urban–rural
attention. This suggests that the rural characteristics of the production and living space and is termed the
towns are more likely to attract public interest. “cultural living and production space factor.”
To further analyze the typological characteristics of (iv) Fourth factor: industry and trade circulation
town images, principal factor analysis was carried out • Larger loadings for “factories,” “business
on the values of various elements corresponding to the activities,” and “transportation facilities” suggest
Volume 7 Issue 2 (2025) 7 https://doi.org/10.36922/jcau.5733

