Page 78 - GPD-2-4
P. 78
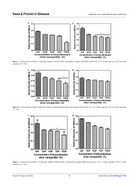
Gene & Protein in Disease Carpenter bee a substrate for green synthesis
A B
Figure 5. Antibacterial activities of Xylocopa virginica-derived silver nanoparticles against Klebsiella pneumonia. (A) 5 h after exposure. (B) 24 h after
exposure. *P < 0.05.
A B
Figure 6. Antibacterial activities of Xylocopa virginica-derived silver nanoparticles against Escherichia coli. (A) 5 h after exposure. (B) 24 h after exposure.
*P < 0.05.
A B
Figure 7. Antibacterial activities of Xylocopa virginica-derived silver nanoparticles against Micrococcus luteus. (A) 5 h after exposure. (B) 24 h after
exposure. *P < 0.05.
Volume 2 Issue 4 (2023) 5 https://doi.org/10.36922/gpd.2155

