Page 491 - IJB-10-6
P. 491
International Journal of Bioprinting Nanomaterial-bioinks for DLP bioprinting
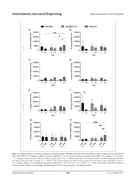
Figure 6. Young’s modulus of constructs composed of different bioinks (GelMaBB, GelMaBB-CaP, and GelMaGO) with or without human mesenchymal
stem cells (hMSCs). (A) Young’s modulus of cell-free scaffolds (n = 4). (B) Young’s modulus of constructs with hMSCs (in average) (n = 4 Donors).
(C–F) Young’s modulus for each of the four donors on days 7 and 14 (n = 3 technical replicates). (G) Young’s modulus of printed constructs with (cells)
and without (no_cells) hMSCs on day 7 (n = 4 donors). (H) Young’s modulus of printed constructs with (cells) and without (no_cells) hMSCs on day 14
(n = 4 donors). Statistics were evaluated using two-way ANOVA; *p < 0.05; **p < 0.01; ***p < 0.001; ****p < 0.0001. Abbreviations: ANOVA: Analysis of
variance; GelMa: Gelatin methacrylamide; BB: Brilliant Black; CaP: Calcium phosphate; GO: Graphene oxide.
Volume 10 Issue 6 (2024) 483 doi: 10.36922/ijb.4015

