Page 50 - GTM-2-2
P. 50
Global Translational Medicine FTO gene and obesity
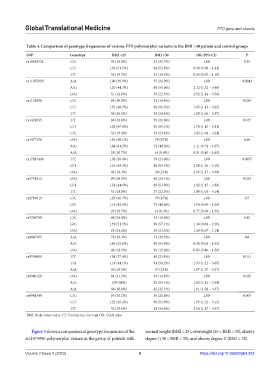
Table 4. Comparison of genotype frequencies of various FTO polymorphic variants in the BMI >30 patient and control groups
SNP Genotype BMI <25 BMI >30 OR (95% CI) P
rs10852521 C/C 76 (28.8%) 52 (32.7%) 1.00 0.35
C/T 136 (51.5%) 84 (52.8%) 0.90 (0.58 – 1.41)
T/T 52 (19.7%) 23 (14.5%) 0.65 (0.35 – 1.18)
rs11075990 A/A 100 (36.9%) 35 (21.9%) 1.00 0.0042
A/G 120 (44.3%) 89 (55.6%) 2.12 (1.32 – 3.40)
G/G 51 (18.8%) 36 (22.5%) 2.02 (1.14 – 3.58)
rs1121980 C/C 84 (30.9%) 31 (19.4%) 1.00 0.029
C/T 132 (48.5%) 90 (56.2%) 1.85 (1.13 – 3.02)
T/T 56 (20.6%) 39 (24.4%) 1.89 (1.06 – 3.37)
rs1421085 T/T 88 (32.8%) 36 (21.6%) 1.00 0.037
C/T 128 (47.8%) 92 (55.1%) 1.76 (1.10 – 2.81)
C/C 52 (19.4%) 39 (23.4%) 1.83 (1.04 – 3.24)
rs1477196 G/G 126 (48.1%) 78 (47%) 1.00 0.66
A/G 108 (41.2%) 74 (44.6%) 1.11 (0.74 – 1.67)
A/A 28 (10.7%) 14 (8.4%) 0.81 (0.40 – 1.63)
rs17817449 T/T 103 (38.4%) 39 (23.6%) 1.00 0.0055
G/T 116 (43.3%) 88 (53.3%) 2.00 (1.26 – 3.18)
G/G 49 (18.3%) 38 (23%) 2.05 (1.17 – 3.59)
rs3751812 G/G 99 (36.5%) 40 (24.1%) 1.00 0.023
G/T 121 (44.6%) 89 (53.6%) 1.82 (1.15 – 2.88)
T/T 51 (18.8%) 37 (22.3%) 1.80 (1.03 – 3.14)
rs4783819 C/C 126 (46.7%) 79 (47%) 1.00 0.7
G/C 115 (42.6%) 75 (44.6%) 1.04 (0.69 – 1.56)
G/G 29 (10.7%) 14 (8.3%) 0.77 (0.38 – 1.55)
rs7206790 C/C 66 (24.4%) 33 (19.6%) 1.00 0.42
G/C 139 (51.5%) 96 (57.1%) 1.38 (0.84 – 2.26)
G/G 65 (24.1%) 39 (23.2%) 1.20 (0.67 – 2.14)
rs8047395 A/A 78 (29.3%) 51 (30.5%) 1.00 0.8
A/G 140 (52.6%) 90 (53.9%) 0.98 (0.63 – 1.53)
G/G 48 (18.1%) 26 (15.6%) 0.83 (0.46 – 1.50)
rs9939609 T/T 101 (37.4%) 40 (23.8%) 1.00 0.011
T/A 119 (44.1%) 91 (54.2%) 1.93 (1.22 – 3.05)
A/A 50 (18.5%) 37 (22%) 1.87 (1.07 – 3.27)
rs9940128 G/G 84 (31.2%) 33 (19.8%) 1.00 0.028
A/G 129 (48%) 92 (55.1%) 1.82 (1.12 – 2.94)
A/A 56 (20.8%) 42 (25.1%) 1.91 (1.08 – 3.37)
rs9941349 C/C 95 (35.2%) 36 (21.6%) 1.00 0.009
C/T 122 (45.2%) 90 (53.9%) 1.95 (1.22 – 3.12)
T/T 53 (19.6%) 41 (24.6%) 2.04 (1.17 – 3.57)
BMI: Body mass index; CI: Confidence interval; OR: Odds ratio
Figure 3 shows a comparison of genotype frequencies of the normal weight (BMI < 25), overweight (25 < BMI < 30), obesity
rs11075990 polymorphic variant in the group of patients with degree I (30 < BMI < 35), and obesity degree II (BMI > 35).
Volume 2 Issue 2 (2023) 6 https://doi.org/10.36922/gtm.352

