Page 110 - TD-3-4
P. 110
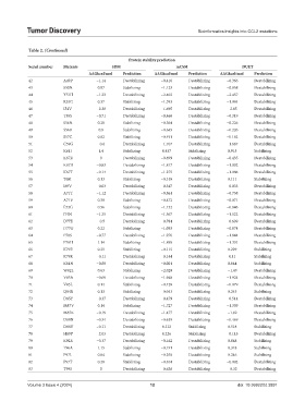
Tumor Discovery Bioinformatics insights into CCL2 mutations
Table 2. (Continued)
Protein stability prediction
Serial number Mutants SDM mCSM DUET
ΔΔGkcal/mol Prediction ΔΔGkcal/mol Prediction ΔΔGkcal/mol Prediction
42 A49P −1.14 Destabilizing −0.416 Destabilizing −0.366 Destabilizing
43 S50N 0.07 Stabilizing −1.123 Destabilizing −0.858 Destabilizing
44 Y51H −1.23 Destabilizing −2.402 Destabilizing −2.457 Destabilizing
45 R53G 0.37 Stabilizing −1.393 Destabilizing −1.084 Destabilizing
46 I54V −2.38 Destabilizing −1.695 Destabilizing −2.05 Destabilizing
47 T55S −0.71 Destabilizing −0.468 Destabilizing −0.319 Destabilizing
48 S56N 0.28 Stabilizing −0.564 Destabilizing −0.226 Destabilizing
49 S56R 0.9 Stabilizing −0.645 Destabilizing −0.226 Destabilizing
50 S57C 0.62 Stabilizing −0.491 Destabilizing −0.162 Destabilizing
51 C59G −0.6 Destabilizing −1.767 Destabilizing −1.667 Destabilizing
52 K61I 1.4 Stabilizing 0.437 Stabilizing 0.915 Stabilizing
53 K67R 0 Destabilizing −0.699 Destabilizing −0.435 Destabilizing
54 K67D −0.83 Destabilizing −1.817 Destabilizing −1.832 Destabilizing
55 K67T −0.14 Destabilizing −1.275 Destabilizing −1.086 Destabilizing
56 T68I 0.13 Stabilizing −0.148 Destabilizing 0.111 Stabilizing
57 I69V −0.03 Destabilizing −0.347 Destabilizing −0.033 Destabilizing
58 A71T −1.12 Destabilizing −0.861 Destabilizing −0.738 Destabilizing
59 A71V 0.38 Stabilizing −0.472 Destabilizing −0.071 Destabilizing
60 E73G 0.56 Stabilizing −1.152 Destabilizing −0.846 Destabilizing
61 I74N −1.35 Destabilizing −1.567 Destabilizing −1.522 Destabilizing
62 D77E −0.5 Destabilizing −0.784 Destabilizing −0.609 Destabilizing
63 D77G 0.22 Stabilizing −1.093 Destabilizing −0.874 Destabilizing
64 P78S −0.77 Destabilizing −1.976 Destabilizing −1.844 Destabilizing
65 P78H 1.14 Stabilizing −1.898 Destabilizing −1.331 Destabilizing
66 K79E 0.25 Stabilizing −0.115 Destabilizing 0.229 Stabilizing
67 K79R −0.11 Destabilizing −0.144 Destabilizing 0.11 Stabilizing
68 K81N −0.88 Destabilizing −0.001 Destabilizing 0.044 Stabilizing
69 W82L 0.63 Stabilizing −2.029 Destabilizing −1.49 Destabilizing
70 V83A −0.69 Destabilizing −1.948 Destabilizing −1.924 Destabilizing
71 V83L 0.14 Stabilizing −0.428 Destabilizing −0.079 Destabilizing
72 Q84R 0.13 Stabilizing −0.043 Destabilizing 0.245 Stabilizing
73 D85Y −0.37 Destabilizing −0.479 Destabilizing −0.514 Destabilizing
74 M87V 0.14 Stabilizing −1.727 Destabilizing −1.309 Destabilizing
75 M87K −0.19 Destabilizing −1.477 Destabilizing −1.02 Destabilizing
76 D88N −0.34 Destabilizing −0.639 Destabilizing −0.469 Destabilizing
77 D88V −0.11 Destabilizing 0.312 Stabilizing 0.518 Stabilizing
78 H89P −2.03 Destabilizing 0.226 Stabilizing −0.113 Destabilizing
79 K92R −0.37 Destabilizing −0.162 Destabilizing 0.048 Stabilizing
80 T96A 1.15 Stabilizing −0.191 Destabilizing 0.318 Stabilizing
81 P97L 0.84 Stabilizing −0.258 Destabilizing 0.246 Stabilizing
82 P97T 0.28 Stabilizing −0.404 Destabilizing −0.002 Destabilizing
83 T99S 0 Destabilizing −0.626 Destabilizing −0.32 Destabilizing
Volume 3 Issue 4 (2024) 12 doi: 10.36922/td.3891

