Page 124 - AIH-1-4
P. 124
Artificial Intelligence in Health Complex early diagnosis of MS through machine learning
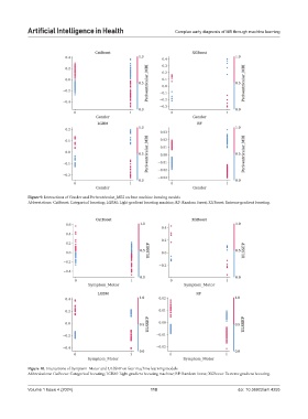
Figure 9. Interactions of Gender and Periventricular_MRI on four machine learning models
Abbreviations: CatBoost: Categorical boosting; LGBM: Light gradient boosting machine; RF: Random forest; XGBoost: Extreme gradient boosting.
Figure 10. Interactions of Symptom_Motor and ULSSEP on four machine learning models
Abbreviations: CatBoost: Categorical boosting; LGBM: Light gradient boosting machine; RF: Random forest; XGBoost: Extreme gradient boosting.
Volume 1 Issue 4 (2024) 118 doi: 10.36922/aih.4255

